dnf冒险团满级需要多少个角色 dnf新版冒险团满级需要多少个角色
发表时间:2026-01-07 来源:本站整理相关软件相关文章人气:
《地下城与勇士》是一款韩国网络游戏公司NEOPLE开发的免费角色扮演2D游戏,由三星电子发行,并于2005年8月在韩国正式发布。中国则由腾讯游戏代理发行。该游戏是一款2D卷轴式横版格斗过关网络游戏,大量继承了众多家用机、街机2D格斗游戏的特色。以任务引导角色成长为中心,结合副本、PVP、PVE为辅,与其他网络游戏同样具有装备与等级的改变,并拥有共500多种装备道具。每个人物有8个道具装备位置,在游戏中可以允许最多4个玩家进行组队挑战关卡,同样也可以进行4对4的PK。
9月21日改版之后,冒险团也跟着改版了,现在很多人都有点摸不清头脑,到底如何升级冒险团最快和升级多少个角色可以到达满级。

相信大家肯定听过满级需要100号的谣言。下面就给大家详细介绍一下。
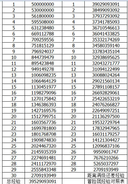
首先我们要先知道基础的数据。那就是升级到30级冒险团到底要多少经验,所以我就对不同等级的冒险图进行了计算。
最后总结出1-30级每级所需要的经验值。大家好可以看一下我制作的表格。

左边是等级对应的经验,右边是当前等级到满级还需要的经验。
下面就给大家介绍一下升级的途径。
1.满级角色刷图
刷图前冒险团经验:116067650
刷图后冒险团经验:116251244
刷图所获得经验值:4298529-4910519=611990
冒险团实际升级经验:183594
结论:满级角色刷图经验转换率不足1/3.
2.未满级角色刷图
刷图前冒险团经验:116251244
刷图后冒险团经验:117143609
刷图所获得经验值:19364109-20256474=892365
冒险团实际升级经验:892365
结论:未满级角色刷图经验转换率100%
3.未满级角色任务经验
任务前冒险团经验:117143609
任务后冒险团经验:121938966
任务所获得经验值: 4795357
冒险团实际升级经验:4795357
结论: 未满级角色任务获得经验转换率100%
4.升级卷与经验胶囊
胶囊御升级卷获得经验转换率为0.
通过上面的测试不难发现,只有当角色没有满级的时候才是升级冒险团最快的阶段,
而升级卷并不能提供冒险团经验,所以以后还是谨慎适用。为此我又制作了一个1-90级升级经验对照表。

我们可以来看一下。一个满级大概需要16.6亿的经验。而一个30级冒险图则需要395亿经验,
理论上来说只需要24个满级角色即可。但需要注意2点,
1、这24个角色必须从1-90级未吃过经验胶囊和升级卷
2、这24个角色必须是改版后新练的。
理论来说改版之前角色越多等级越高,改版后的冒险团等级应该也会越高,可目前并没有发现21级以上冒险团,并且所有21级的冒险团经验值都是0%。
换句话说改版前满级角色越多越不利于冒险团的升级。
在来看一下图表。16亿的升级经验大部分集中在85-90级。也就是说1个85级的号。相当于2/3个1-90的号。85-90比1-90要快的多。
所以正确的冒险团升级方法就是把之前的冒险团小号都升到满级。那么关于冒险团的介绍就到这里。
《DNF》延续了街机横版格斗的模式,并将爽快感,打击感发挥到及至。再结合RPG中的大量元素,使得《DNF》中的战斗拥有极高的可玩性,耐玩性。